
La hipoacusia relacionada con la edad es un trastorno neurosensorial irreversible caracterizado por una disminución, no solo de la sensibilidad del umbral auditivo, sino de la capacidad para entender el habla. Es una condición multifactorial, pero una de las causas más conocidas es la apoptosis de las células ciliadas en respuesta a un estrés oxidativo.
Las sustancias antioxidantes han sido objeto de estudio para retrasar o prevenir el envejecimiento del cuerpo y del oído. Diversas investigaciones han demostrado que una de estas sustancias, la melatonina, es terapéuticamente esperanzadora para prevenir el envejecimiento del oído y en la profilaxis del daño coclear generado por ruido o, incluso, en la mejora de la ototoxidad causada por cisplatino.
La melatonina se puso de moda hace unos años para ayudarnos a dormir mejor pero esta sustancia tiene mucha más relevancia de lo que creemos en nuestra salud y en el buen funcionamiento del cuerpo.
¿Qué es la melatonina?
La melatonina es una hormona que se produce a partir del aminoácido esencial Triptófano, mediante la transformación en la glándula pineal (la cual está en la base del cerebro) de serotonina en melatonina. Pero también se encuentra sintetizada localmente en los tejidos y órganos extrapineales, para estimular la producción de diversas enzimas que protegen a las células, a los lípidos, a las proteínas y al propio ADN del daño oxidativo. Es decir, nos ayuda a prevenir el envejecimiento y/o una aceleración de este.

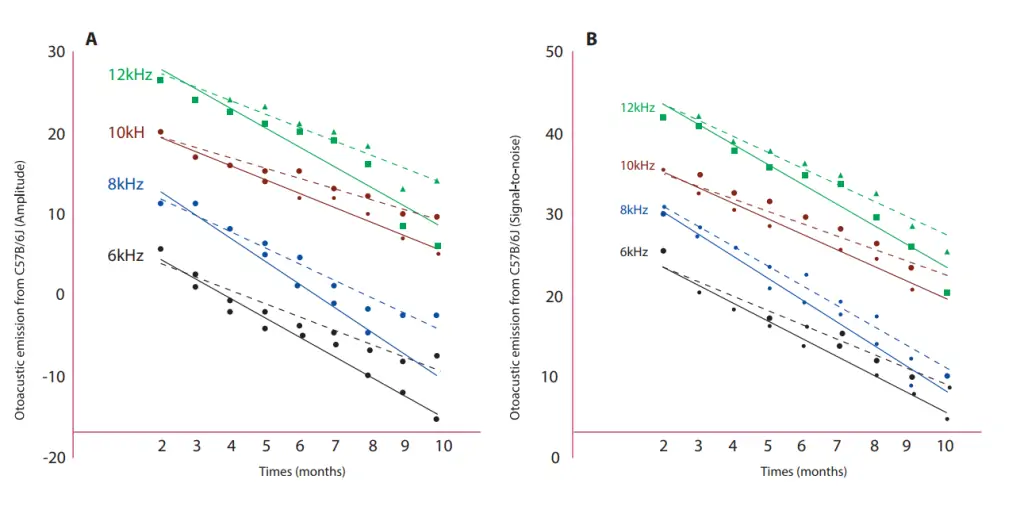
Líneas ajustadas de regresión lineal. Líneas ajustadas de la variación de (A) amplitud de la emisión otoacústica y (B) relación señal-ruido obtenida mensualmente en el grupo control (línea continua) y el grupo tratado con melatonina (línea punteada). Se muestran frecuencias de 6 (negro), 8 (azul), 10 (rojo) y 12 kHz (verde).
Fuente: https://doi.org/10.137/journal.pone.0228943.g001
A través de sus receptores, la melatonina regula la actividad diaria y estacional. Esto incluye el metabolismo, la presión arterial, el ciclo sueño-vigilia, la temperatura corporal, las hormonas y los tiempos de reacción.
Si no estamos expuestos a luz natural, nuestros niveles de melatonina descenderán y el organismo no podrá realizar todas las funciones que dependen de ella, como reparar nuestras células o proteger nuestro ADN.
El cuerpo tiene un sistema altamente regulado y fuertemente integrado que se ha desarrollado para producir una vida saludable frente a las variaciones climáticas diurnas y estacionales. La melatonina juega un papel central. Los factores ambientales que alteran el equilibrio melatonina-serotonina tienen la capacidad de influir en todas las funciones y órganos que utiliza el ciclo circadiano de melatonina-serotonina para la homeostasis térmica. Esto incluye presión arterial, respiración, alteración del sistema inmunológico, procesos cardíacos, neurológicos y reproductivos’ — Neil Cherry, 2002.

La producción y liberación de melatonina en el cerebro está relacionada con la hora del día, es decir, aumenta cuando está oscuro y disminuye cuando hay luz. Pero ¿qué ocurre si nuestro cerebro ya no sabe muy bien cuándo es de día y cuándo es de noche? ¿Qué pasa si se han alterado los ritmos circadianos? La respuesta es clara: se genera una alteración de muchas funciones y una aceleración del envejecimiento.
¿Qué son los ritmos circadianos?
Los ritmos circadianos son cambios en nuestro cuerpo que siguen un ciclo de 24 horas. Estos procesos naturales responden, principalmente, a la luz solar y a la oscuridad, afectando a la mayoría de los seres vivos.
¿Cómo sintetizamos principalmente melatonina y serotonina?
Se sintetiza con la luz natural comprendida entre el amanecer y el mediodía y se libera con la falta de luz al caer la noche.
Esto quiere decir que, si no estamos expuestos a luz natural en el exterior, sin intermediarios como ventanas o gafas, nuestros niveles de melatonina, no solo descenderán significativamente, sino que nuestro organismo no podrá realizar todas las funciones que dependen de ella, como reparar nuestras células durante la noche o proteger nuestro ADN. Y lo que es aún peor, si estamos todo el día expuestos a la luz que emiten nuestros ordenadores, móviles y televisiones, y cuando cae la noche, seguimos rodeados de luces azules-blancas que le hacen creer a nuestro cerebro que está en un eterno mediodía, nuestros ritmos circadianos se van a ir destruyendo y van a desencadenar multitud de síntomas, enfermedades y un estrés oxidativo desproporcionado.
La melatonina ha demostrado en varios estudios ser terapéuticamente esperanzadora para prevenir el envejecimiento del oído y en la profilaxis del daño coclear generado por ruido.

La American Medical Association publica que el espectro de la luz azul, omnipresente en toda iluminación artificial, causa estrés oxidativo, hiperinsulinemia, hipercortisolemia, hiperglucemia en ayunas, hipertensión y aumenta el riesgo de diversos tipos de cáncer.
https://physicstoday.scitation/
Es entendible que la melatonina aparezca en múltiples estudios casi como una molécula milagrosa para combatir la mayoría de los problemas relacionados con el sistema auditivo e, incluso, para acúfenos o desórdenes vestibulares, actuando como una sustancia antinflamatoria y antioxidante.

Posibles acciones antiinflamatorias y antioxidantes de la melatonina en los trastornos vestibulares. Las flechas azules indican estimulación o activación de algunas enzimas, vías de señalización, marcadores de inflamación y genes, mientras que las flechas rojas indican los efectos inhibidores de la melatonina en estas vías, inhibiendo así la apoptosis y la inflamación. Observe cómo se activa la melatonina.
https://www.hindawi.com/journals/ijoto/2021/6641055/
¿La solución está en tomar pastillas de melatonina?
A pesar de que los estudios donde se administra melatonina al GE experimentan unos magníficos resultados en comparación con su GC, algunos autores aseguran que, a largo plazo, esto provocaría que nuestro cuerpo dejara de sintetizar melatonina natural y acabaríamos teniendo otros problemas.
La American Medical Association alerta de que el espectro de la luz azul, omnipresente en toda iluminación artificial, causa estrés oxidativo y aumenta el riesgo de diversos tipos de cáncer.
La mayoría de los científicos coinciden en que lo mejor es cuidar nuestra melatonina natural y en que el insomnio puede ser una señal de alarma de que nuestros ritmos circadianos se están destruyendo.
Consejos prácticos para que tu paciente y tú mantengáis buenos niveles de melatonina.
Lo ideal sería estar en contacto con la naturaleza el mayor tiempo posible y adaptarse a la luz de cada estación, pero esto, para la mayoría de nosotros, es prácticamente imposible, por eso vamos a ver cómo podemos hacer pequeños cambios para recuperar nuestra salud.

— Intenta despertarte pronto, no estés en la cama si ya es de día completamente.
— Ten las mismas rutinas de comidas y sueño todos los días, incluso los fines de semana.
— Intenta estar expuesto a la luz del día sin estar detrás de la ventana, ni ponerte gafas de sol (no quiere decir mirar al sol directamente) al menos diez minutos al levantarte. Si no puedes salir completamente a la calle, puedes abrir la ventana y mirar al cielo mientras te tomas tu café, tu té, o simplemente, tómate esos minutos para ti.
— Intenta salir a la calle siempre que puedas, sobre todo a mediodía, y aprovecha para acompañar a tu paciente hasta la salida o asómate a la puerta si te ha quedado un hueco libre en la agenda.
— Utiliza gafas de protección de luz azul para el ordenador o filtros para los dispositivos electrónicos (https://iristech.co/filtro-de-luz-azul-para-pc/).
— Intenta salir a la calle o abrir de nuevo la ventana al atardecer y deja de usar tus dispositivos electrónicos una vez anochezca. Si es imposible, usa filtros para estos dispositivos.
— Cambia las luces azules de tu casa por unas bombillas rojas y usa estas una vez esté atardeciendo, de esta manera el cerebro sabrá que se tiene que preparar para la noche.
— No cenes tarde y preferiblemente, ya no lo hagas si es noche cerrada. Ese momento del día está destinado a la reparación y limpieza de nuestras células y para el descanso, no para hacer la digestión.
— No duermas con el móvil cerca de tu cabeza y mucho menos enchufado.
Autor

Audióloga y Logopeda
Diplomada en TAV por AGB Listening and Spoken Language, USA.
Máster en Terapia Orofacial y Miofuncional.
Máster en Psicología Positiva.
Experta en Procesos Cognitivos, Lenguaje y Comunicación.
Psiconeuroinmunóloga.
CEO en la Clínica de Intervención Cognitiva y Neurociencia, CLIC.





Wow,,,que interesante..tengo tanto ruidos en mis oídos que no sé qué hacer…voy hacer todo lo que pueda por seguir esos consejos….gracias.